
Given the head of a linked list, reverse the nodes of the list k at a time, and return the modified list.
k is a positive integer and is less than or equal to the length of the linked list. If the number of nodes is not a multiple of k then left-out nodes, in the end, should remain as it is.
You may not alter the values in the list's nodes, only nodes themselves may be changed.
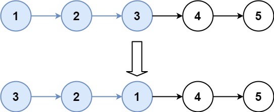
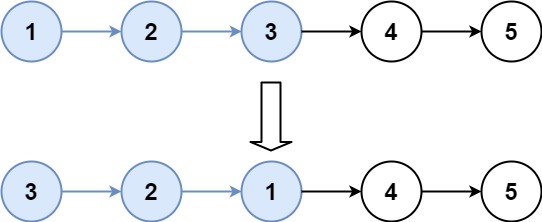
Example 1:

Input: head = [1,2,3,4,5], k = 2
Output: [2,1,4,3,5]
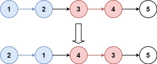
Example 2:

Input: head = [1,2,3,4,5], k = 3
Output: [3,2,1,4,5]
Constraints:
- The number of nodes in the list is n.
- 1 <= k <= n <= 5000
- 0 <= Node.val <= 1000
Code :
var reverseKGroup = function(head, k) {
// 노드 값을 저장할 배열 list 선언
let list = new Array();
// head가 null이 아닐 때까지 반복하여 list에 노드 값을 추가
while (head !== null) {
list.push(head.val);
head = head.next;
}
// list의 길이가 0이면 null 반환
if (list.length === 0) return null;
// k씩 노드를 뒤집기 위한 반복문
for (let i = 0; i < list.length; i += k) {
// temp 배열에 i부터 i+k까지의 노드 값 할당
let temp = list.slice(i, i+k);
// temp의 길이가 k보다 작으면 continue하여 뒤집지 않고 다음 노드 그룹으로 이동
if (temp.length < k) continue;
// k개의 노드를 뒤집기 위한 반복문
for (let j = 0; j < k; j++) {
// list에서 i+j번째 노드를 temp의 (k-j-1)번째 노드 값으로 덮어씀
list[i+j] = temp[k-j-1];
}
}
// 결과를 담을 result 노드 초기화
let result = new ListNode(list.pop());
// list의 길이가 0보다 클 때까지 반복하여 연결 리스트 생성
while (list.length > 0) {
result = new ListNode(list.pop(), result);
}
// 결과 반환
return result;
};
Solutions Code :
var reverseKGroup = function(head, k) {
// 가장 처음의 더미 노드 생성
var dummy = new ListNode(0);
dummy.next = head;
var prevGroupTail = dummy;
// head가 존재하는 동안 반복
while (head) {
// 현재 그룹의 시작점 할당
var groupStart = head;
// 현재 그룹의 끝점 계산
var groupEnd = getGroupEnd(head, k);
// 그룹의 끝이 존재하지 않을 경우 반복 종료
if (!groupEnd)
break;
// 이전 그룹의 꼬리를 현재 그룹의 뒤집힌 리스트의 헤드로 설정
prevGroupTail.next = reverseList(groupStart, groupEnd.next);
prevGroupTail = groupStart;
head = prevGroupTail.next;
}
// 더미 노드의 다음 노드를 새로운 헤드 노드로 설정
var newHead = dummy.next;
return newHead;
}
// 그룹의 끝점을 찾는 함수
var getGroupEnd = function(head, k) {
while (head && k > 1) {
head = head.next;
k--;
}
return head;
}
// 노드를 뒤집는 함수
var reverseList = function(head, stop) {
var prev = stop;
while (head !== stop) {
var next = head.next;
head.next = prev;
prev = head;
head = next;
}
return prev;
}
출처 : https://leetcode.com/problemset/all/
Problems - LeetCode
Boost your coding interview skills and confidence by practicing real interview questions with LeetCode. Our platform offers a range of essential problems for practice, as well as the latest questions being asked by top-tier companies.
leetcode.com
'LeetCode' 카테고리의 다른 글
| [LeetCode] 27. Remove Element (0) | 2023.10.27 |
|---|---|
| [LeetCode] 26. Remove Duplicates from Sorted Array (0) | 2023.10.27 |
| [LeetCode] 24. Swap Nodes in Pairs (0) | 2023.10.26 |
| [LeetCode] 23. Merge k Sorted Lists (0) | 2023.10.26 |
| [LeetCode] 22. Generate Parentheses (0) | 2023.10.25 |