728x90

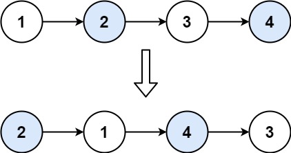
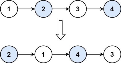
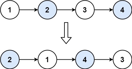
Given a linked list, swap every two adjacent nodes and return its head. You must solve the problem without modifying the values in the list's nodes (i.e., only nodes themselves may be changed.)
Example 1:

Input: head = [1,2,3,4]
Output: [2,1,4,3]
Example 2:
Input: head = []
Output: []
Example 3:
Input: head = [1]
Output: [1]
Constraints:
- The number of nodes in the list is in the range [0, 100].
- 0 <= Node.val <= 100
Code :
var swapPairs = function(head) {
// 만약 헤드가 null이면 head 반환
if (head == null) return head;
// 만약 헤드의 다음 노드가 null이면 head 반환
if (head.next == null) return head;
// 두 노드를 스왑하기 위해 임시 변수 temp에 head의 다음 노드 할당
let temp = head.next;
// head의 다음 노드를 temp의 다음 노드로 설정
head.next = temp.next;
// temp의 다음 노드를 head로 설정하여 노드를 스왑
temp.next = head;
// head의 다음 노드를 스왑된 다음 노드에 대해 재귀 호출하여 연결 리스트의 나머지 부분도 스왑
head.next = swapPairs(head.next);
// 스왑된 헤드 노드 반환
return temp;
};
Solutions Code :
var swapPairs = function(head) {
// 만약 head가 존재하지 않거나 head의 다음 노드가 존재하지 않으면 head 반환
if (!head || !head.next) {
return head;
}
// newHead 변수에 head의 다음 노드 할당
var newHead = head.next;
// 이전 노드를 나타내는 prev 변수와 현재 노드를 나타내는 curr 변수 초기화
var prev = null;
var curr = head;
// curr가 존재하고 curr의 다음 노드가 존재하는 동안 반복
while (curr && curr.next) {
// 다음 노드를 나타내는 next 변수 할당
var next = curr.next;
// curr의 다음 노드를 next의 다음 노드로 설정
curr.next = next.next;
// next의 다음 노드를 curr로 설정하여 노드를 스왑
next.next = curr;
// prev가 존재하는 경우 prev의 다음 노드를 next로 설정하여 이전 노드와 스왑된 노드 연결
if (prev) {
prev.next = next;
}
// prev 변수에 curr, curr 변수에 curr의 다음 노드로 설정하여 다음 노드로 이동
prev = curr;
curr = curr.next;
}
// 스왑된 헤드 노드 반환
return newHead;
};
출처 : https://leetcode.com/problemset/all/
Problems - LeetCode
Boost your coding interview skills and confidence by practicing real interview questions with LeetCode. Our platform offers a range of essential problems for practice, as well as the latest questions being asked by top-tier companies.
leetcode.com
728x90
'LeetCode' 카테고리의 다른 글
| [LeetCode] 26. Remove Duplicates from Sorted Array (0) | 2023.10.27 |
|---|---|
| [LeetCode] 25. Reverse Nodes in k-Group (2) | 2023.10.26 |
| [LeetCode] 23. Merge k Sorted Lists (0) | 2023.10.26 |
| [LeetCode] 22. Generate Parentheses (0) | 2023.10.25 |
| [LeetCode] 21. Merge Two Sorted Lists (0) | 2023.10.24 |