728x90

Given the head of a linked list, remove the n^th node from the end of the list and return its head.
Example 1:

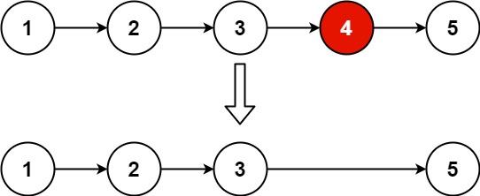
Input: head = [1,2,3,4,5], n = 2
Output: [1,2,3,5]
Example 2:
Input: head = [1], n = 1
Output: []
Example 3:
Input: head = [1,2], n = 1
Output: [1]
Constraints:
- The number of nodes in the list is sz.
- 1 <= sz <= 30
- 0 <= Node.val <= 100
- 1 <= n <= sz
Code :
var removeNthFromEnd = function(head, n) {
// 새로운 더미 노드를 생성하여 헤드로 설정합니다.
const root = new ListNode(0);
root.next = head;
let front = root; // 앞쪽 포인터를 더미 노드로 설정합니다.
let back = root; // 뒤쪽 포인터를 더미 노드로 설정합니다.
// 주어진 n만큼 뒤쪽 포인터를 이동시킵니다.
while (n >= 0) {
front = front.next;
n--;
}
// 앞쪽 포인터가 끝에 도달할 때까지 두 포인터를 이동시킵니다.
while (front) {
front = front.next;
back = back.next;
}
// 뒤쪽 포인터의 다음 노드를 현재 노드의 다음 노드로 설정하여 노드를 제거합니다.
back.next = back.next.next;
return root.next; // 새로운 연결 리스트의 헤드 노드를 반환합니다.
};
Solutions Code :
var removeNthFromEnd = function(head, n) {
let fast = head; // 빠른 포인터를 헤드로 설정합니다.
let slow = head; // 느린 포인터를 헤드로 설정합니다.
// n만큼 빠른 포인터를 이동시킵니다.
for (let i = 0; i < n; i++) fast = fast.next;
// 빠른 포인터가 null이라면 헤드의 다음 노드를 반환합니다.
if (!fast) return head.next;
// 빠른 포인터가 끝에 도달할 때까지 두 포인터를 이동시킵니다.
while (fast.next) {
fast = fast.next;
slow = slow.next;
}
// 느린 포인터의 다음 노드를 현재 노드의 다음 노드로 설정하여 노드를 제거합니다.
slow.next = slow.next.next;
return head; // 수정된 연결 리스트의 헤드 노드를 반환합니다.
};
출처 : https://leetcode.com/problemset/all/
Problems - LeetCode
Boost your coding interview skills and confidence by practicing real interview questions with LeetCode. Our platform offers a range of essential problems for practice, as well as the latest questions being asked by top-tier companies.
leetcode.com
728x90
'LeetCode' 카테고리의 다른 글
| [LeetCode] 21. Merge Two Sorted Lists (0) | 2023.10.24 |
|---|---|
| [LeetCode] 20. Valid Parentheses (0) | 2023.10.24 |
| [LeetCode] 18. 4Sum (2) | 2023.10.24 |
| [LeetCode] 17. Letter Combinations of a Phone Number (2) | 2023.10.24 |
| [LeetCode] 16. 3Sum Closest (0) | 2023.10.23 |